[Programmers] 멀리 뛰기
2023. 8. 8. 15:07ㆍComputer Sciences/Problem Solve
https://school.programmers.co.kr/learn/courses/30/lessons/12914
프로그래머스
코드 중심의 개발자 채용. 스택 기반의 포지션 매칭. 프로그래머스의 개발자 맞춤형 프로필을 등록하고, 나와 기술 궁합이 잘 맞는 기업들을 매칭 받으세요.
programmers.co.kr
문제 설명
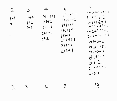
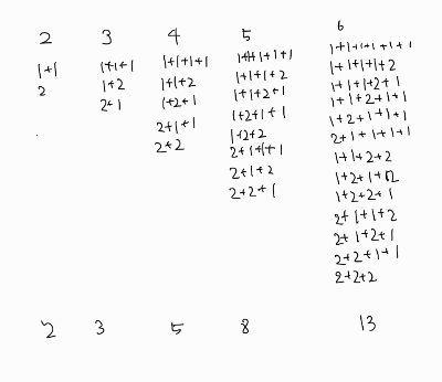
1과 2를 가지고 N까지 가는 모든 경우의 수를 구하는 문제이다. 6까지를 직접 구해보면 다음과 같다.

어디서 많이 본 패턴 아닌가? 그렇다. 피보나치 수열이다. 1과 2를 사용한 N까지의 모든 조합은 피보나치 수열과 같다.
코드
class Solution {
public long solution(int n) {
long[] dp = new long[n + 1];
if (n == 1) return 1;
dp[1] = 1L;
dp[2] = 2L;
for (int i = 3; i <= n; i++) {
dp[i] = (dp[i - 1] + dp[i - 2]) % 1234567;
}
return dp[n];
}
}'Computer Sciences > Problem Solve' 카테고리의 다른 글
| [Programmers] 괄호 회전하기 (0) | 2023.08.09 |
|---|---|
| [Programmers] 귤 고르기 (0) | 2023.08.09 |
| [Programmers] N개의 최소공배수 (0) | 2023.08.08 |
| [Programmers] 점프와 순간 이동 (0) | 2023.08.08 |
| [Programmers] 예상 대진표 (0) | 2023.08.08 |